Skip to main content

Featured

How To Calculate Slope Of Best Fit Line

How To Calculate Slope Of Best Fit Line . Let’s learn about how the model finds the best fit line and how to measure the goodness of fit in this article in detail. It is a form of linear regression that uses scatter data to determine the best way of defining the relationship between the dots. Equation Of Line Best Fit In Slope Intercept Form Tessshebaylo from www.tessshebaylo.com As a result, both standard deviations in the formula for the slope must be nonnegative. Plot line of best fit in ggplot2. Don’t just choose the first and last data points, but construct a line that best represents the trend.

Expected Value Of Poisson Distribution Calculator


Expected Value Of Poisson Distribution Calculator. This expected value calculator helps you to quickly and easily calculate the expected value (or mean) of a discrete random variable x. P ( x) = e − λ ⋅ λ x x!

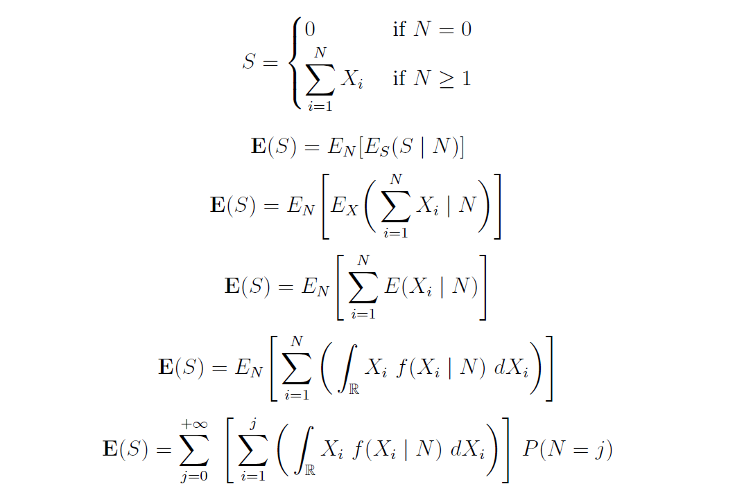
[最も選択された] ƒƒPƒ‚ƒ“ ƒIƒX ƒ ƒX 252902P(x)=x3
[最も選択された] ƒƒPƒ‚ƒ“ ƒIƒX ƒ ƒX 252902P(x)=x3 from kabegamitjvz.blogspot.com

E − λ = ∑ y = 0 ∞ a y λ y y!, where the series { a y } is defined by a y ≡ f ( y) ⋅ e − y. Now click the button “solve” to get the probability value. The expected value of exponential random variable x is defined as:

I Need To Calculate The Expected Results(How Many Games Result With The Same Score) With Poisson Distribution Then Compare Actual Results With Expected Results.so, Imagine I Have 2 Games That Resulted In Result = 2, 4 Games Resulted In Result = 9 And So On.


It is the arithmetic mean of many independent “x”. This expected value calculator helps you to quickly and easily calculate the expected value (or mean) of a discrete random variable x. Enter all known values of x and p (x) into the form below and click the calculate button to calculate the expected value of x.

Now Click The Button “Solve” To Get The Probability Value.


The poisson distribution has the parameter , which indicates the mean rate of occurrence of events. P ( x) = e − λ ⋅ λ x x! From probability generating function of poisson distribution:

In Probability Theory And Statistics, The Poisson Distribution Is A Discrete Probability Distribution That Expresses The Probability Of A Given Number Of Events Occurring In A Fixed Interval Of Time Or Space If These Events Occur With A Known Constant Mean Rate And Independently Of The Time Since The Last Event.


In exponential distribution, it is the same as the mean. Cumulative distribution function of the poisson distribution is, where is the floor function. To calculate the mean of a poisson distribution, we use this distribution's moment generating function.

Top Universities Top Courses Colleges Exams Study Abroad News Admission 2022 Write A Review.


It is named after french mathematician siméon denis poisson (/ ˈ p w ɑː s ɒ n. The poisson distribution is a discrete distribution under which the random variable counts the number of events occurring in a specified time interval. Therefore, the expected value (mean) and the variance of the poisson distribution is equal to λ.

Age Under 20 Years Old 20 Years Old Level 30 Years Old.


I know that $2exey=2\lambda\mu$, but i don't know how to calculate the squared expected values. How to use the poisson distribution calculator? If doing this by hand, apply the poisson probability formula:


Comments

Popular Posts